非阿贝尔任意子是拓扑量子计算突破退相干瓶颈的核心,其存在的关键证据长期缺失。以色列魏茨曼科学研究所团队以高迁移率双层石墨烯范德华异质结为平台,利用法布里 - 珀罗干涉技术,首次在 v=-1/2 和 v=3/2 两种偶分母分数量子霍尔态中观测到稳健的阿哈罗诺夫 - 玻姆干涉信号。实验通过填充因子偏离调控,揭示背景体态准粒子携带 e/4 分数电荷,该特征与非阿贝尔拓扑序理论预测高度吻合,为非阿贝尔任意子的存在提供了关键实验支撑,也确立了双层石墨烯在拓扑物态研究中的优势地位。相关研究成果以“Aharonov–Bohm interference in even-denominator fractional quantum Hall states”为题发表在 Nature 上。[Nature volume 649, pages323–329 (2026)。

© Nature
核心亮点速览
1. 突破长期瓶颈:利用高质量双层石墨烯范德华异质结,首次在偶数分母分数霍尔态( v=-1/2 和 v=3/2 )中观测到了清晰且稳健的阿哈罗诺夫-玻姆(AB)干涉信号,克服了此前在砷化镓体系中长期面临的信号缺失难题。
2. 非阿贝尔统计的关键信号:通过精细测量偏离填充因子时的统计相位演化,实验成功分离出携带e/4电荷的体态准粒子贡献。这一发现与常见阿贝尔态(如 331 态)的预测不符,而与非阿贝尔拓扑序(如 Pfaffian 态)高度一致,为非阿贝尔任意子的存在提供了强有力的实验支持。
3. 电荷特性的多维度揭示:实验观测到对应于2ϕ0的磁通周期,表明直接参与绕行干涉的准粒子有效电荷为e/2。结合e/4体态准粒子的发现,这一结果提示了实验中可能存在的准粒子配对或热抹除效应。
4. 确立新一代量子平台:该工作验证了基于双层石墨烯的栅极定义干涉仪在维持脆弱量子相干性方面的卓越性能,确立了其作为探索拓扑量子计算和任意子编织操作理想平台的地位。
拓扑量子计算的圣杯与非阿贝尔任意子的搜寻
拓扑量子计算因对局域环境噪声具有天然免疫力而备受关注。该方案的核心是利用二维系统中非阿贝尔任意子的非对易编织特性,将量子信息编码在系统的全局拓扑性质而非局域状态中。由于信息的演化仅取决于编织轨迹形成的拓扑构型,局域扰动无法改变系统的整体拓扑特征,从而确保了该量子计算方案的稳定性。
物理学界长期致力于寻找这种准粒子的物质载体。理论预言指出,偶数分母的分数量子霍尔(FQH)态是非阿贝尔拓扑序的主要候选者。然而,验证其统计特性需要依赖对相位极度敏感的阿哈罗诺夫-玻姆(AB)干涉实验。过去几十年间,受限于材料纯度和边缘态控制的难度,科学家在传统的砷化镓(GaAs)体系中始终难以观测到稳健的干涉信号,这成为了探测非阿贝尔统计及其拓扑特性的最大瓶颈。
基于双层石墨烯的法布里-珀罗干涉仪:捕捉相位的探针
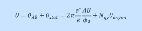
为了捕捉准粒子极其微弱的相位信息,研究团队利用了阿哈罗诺夫-玻姆效应这一量子力学的基本原理。该效应揭示了带电粒子在磁矢势场中运动时,即使经过的路径上磁场为零,其波函数仍会积累几何相位。在量子霍尔效应体系中,当准粒子沿闭合路径绕行并发生干涉时,其总相位由两部分构成:一部分是由穿过干涉路径包围面积内的磁通量决定的 AB 相位,它正比于准粒子的电荷;另一部分则是由干涉环内部存在的局域化准粒子数量及其交换统计角决定的统计相位。通过测量干涉引起的电阻振荡,物理学家可以分离这两项贡献,从而分别测定准粒子的电荷和统计特性。

实验所采用的物理平台是基于双层石墨烯(Bilayer Graphene)的范德华异质结。为了保证样品的极高洁净度,双层石墨烯被精细地封装在六方氮化硼介质层之间,并通过顶层和底层的石墨栅极进行纯静电调控。这种设计避免了传统物理刻蚀可能带来的边缘损伤,利用电场定义的“软边缘”限制电子运动,对于维持脆弱的分数态相干性至关重要。

© Nature
研究人员构建了一个栅极定义的法布里-珀罗干涉仪(Fabry-Pérot Interferometer)。其工作原理类似于光学的法布里-珀罗腔,利用一对分裂栅在石墨烯通道中制造两个狭窄的量子点接触(QPCs),通过调节跨越这些区域的空气桥电压,控制边缘态的透射与反射。同时,中心栅独立控制干涉仪内部区域的电子密度,使得边缘态电子通过隧穿进入中心区域并沿其边缘绕行,形成一个可控的干涉闭环。
从电荷测量到统计相位的破译
在强磁场和极低温的实验条件下,研究团队首先通过协同调节磁场和中心栅电压,使干涉仪内部始终保持恒定的填充因子。在偶数分母态 v=-1/2 和 v=3/2 处,实验观测到了清晰且稳健的电阻振荡,即阿哈罗诺夫-玻姆干涉条纹。观测数据显示,磁通周期对应于两个磁通量子(2ϕ0),这表明参与干涉绕行的准粒子有效电荷为电子电荷的一半(e/2)。虽然非阿贝尔态理论预期存在电荷为e/4的准粒子,但实验观测到的e/2电荷可能源于两个e/4准粒子的配对,或者是由于热涨落导致单次绕行(对应4ϕ0周期)的信号被抹除,仅留下了更稳健的双重绕行信号。这一结果首先确证了偶数分母态准粒子的量子相干性,这是观测统计特性的前提。

© Nature
为了进一步探测最为关键的统计相位,研究人员采取了偏离固定填充因子的测量策略。通过微调栅极电压使系统轻微偏离完美的偶数分母填充态,迫使干涉环内部不断引入额外的体态准粒子以维持电荷平衡。在这一过程中,新引入的体态准粒子会对绕行的干涉粒子施加额外的统计相位,从而导致干涉条纹的斜率发生改变。

© Nature
定量分析表明,干涉条纹斜率的改变对应于引入了电荷为e/4的体态准粒子。这一发现构成了非阿贝尔统计存在的有力证据:虽然直接参与干涉绕行的可能是e/2电荷,但通过统计相位效应揭示出的背景体态准粒子具有e/4 电荷。这种电荷分数的层级结构与 Pfaffian 或 Anti-Pfaffian 等非阿贝尔拓扑序的理论预测高度一致,而与常见的阿贝尔描述(如 331 态)相左。

© Nature
实验的局限性与另一种可能性:热涨落对干涉信号的抹除
尽管该研究为非阿贝尔统计提供了强有力的证据,但论文作者保持了高度的科学严谨性,深入剖析了实验结果中尚存的可能。这种审慎的态度主要源于阿哈罗诺夫-玻姆干涉的振荡周期与理论预期之间存在的差异。对于理论上预言的非阿贝尔态(如 Pfaffian 态),其基本准粒子应当携带e/4电荷,从而产生对应于四个磁通量子(4ϕ0)的干涉周期。然而,实验实际观测到的却是对应于e/2电荷的2ϕ0周期。
针对这一现象,文章提出了一种基于“热抹除效应”的解释,认为这并不否定非阿贝尔统计的存在。在有限温度的实验条件下,由单个e/4准粒子绕行产生的干涉信号极其脆弱,容易受到简并基态热涨落的抑制甚至完全抹除。相比之下,由两个准粒子配对或单粒子双重绕行所产生的信号表现出e/2的电荷行为,这种信号更为稳健,因而能够在实验中被观测到。当然,研究人员也指出了另一种更为保守的可能性,即如果仅依据2ϕ0的周期判断,确实无法完全排除参与干涉的本身就是携带e/2电荷的阿贝尔准粒子(如 331 态)的可能性。此外,在探测统计相位的过程中,实验数据也呈现出了一定的复杂性。在理想情形下,随着单个准粒子的注入,应当观测到离散的相位跳变。但受限于实验中粒子数的涨落,这种离散特征被平均化,最终表现为干涉条纹斜率的连续变化。
综上所述,虽然 AB 干涉本身的周期性(2ϕ0)存在多种可能性,但结合偏离填充因子时的斜率分析(揭示了背景中e/4粒子的存在),该实验结果与非阿贝尔统计的预测最为一致。
结论与展望:双层石墨烯平台的突破与未来
这项研究利用高质量的双层石墨烯范德华异质结,成功攻克了偶数分母分数量子霍尔态中长期缺失稳健干涉信号的难题。实验最核心的成果在于两方面:首先,在 v=-1/2 和 v=3/2 两个关键的偶数分母态中,确凿地观测到了阿哈罗诺夫-玻姆干涉振荡,这直接证实了这些特殊量子态中准粒子的长程量子相干性。其次,更为重要的是,通过巧妙设计的偏离填充因子实验,研究人员成功测量了统计相位的演化。数据分析表明,导致相位变化的体态准粒子携带 e/4的分数电荷,这一特征与阿贝尔统计的预测不符,而与非阿贝尔拓扑序(如 Pfaffian 或 Anti-Pfaffian 态)的理论模型高度一致。这一发现构成了目前在凝聚态体系中支持非阿贝尔任意子存在的强有力的实验信号。
尽管实验取得了重大突破,但目前的观测结果仍存在待完善之处。例如,直接反映单个非阿贝尔任意子干涉行为的4ϕ0磁通周期信号尚未被捕捉到,取而代之的是更稳健的2ϕ0周期。这提示我们,当前实验条件下的热涨落可能掩盖了最精细的干涉特征。未来的研究方向将聚焦于进一步降低实验温度以及优化量子点接触的势垒控制,以期抑制热抹除效应,从而直接观测到理论预言的4ϕ0周期信号,消除多种实验解释可能性。
总体而言,该工作不仅确立了双层石墨烯作为研究复杂拓扑物态的理想平台,也为最终实现基于非阿贝尔任意子的拓扑量子计算迈出了从理论走向实验的关键一步。
论文链接:
https://www.nature.com/articles/s41586-025-09891-2#Sec6
